系统简介

System introduction



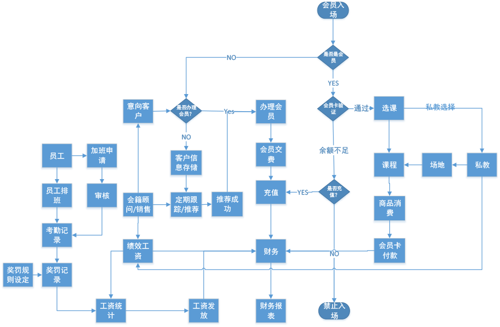
时创健身中心ERP系统,是一套健身中心管理的解决方案,以帮助客户成功为宗旨,结合公司对健身中心行业多年的深入研究和积累,整合连锁门店管理时创连锁管理系统为连锁店的日常运营和管理提供的支持的信息管理系统。从客户办卡、消费、充值、转储、预约全流程建立完整的客户关系管理档案,针对员工、教练的业务薪酬也有着完善的管理。简易的操作,朴实的界面,完善的会员管理功能,强大的查询统计报表,将使您的管理更方便、更实效。











系统特点

System characteristics



便捷的连锁管理


针对多连锁的健身中心,支持所有门店信息统一管理。

不同门店的开卡客户均能够在任意门店享受相同服务。

员工信息统一管理,相应权限账户可对其进行操作。

数据权限限制,如私教只查看自己的预约客户。


完善的会员管理


会员实名制注册办卡,提供普通及VIP办卡服务。

提供会员转卡、升级、充值、换卡、停卡、销卡等多项会籍管理需求,且每次流水详细保存,可提供会员打印。

会员消费均需客户确认并提供打印。

根据会卡信息进行到期提醒、余额提醒,还有会员生日提醒。


个性化私教服务


针对私教业务在会员基础上提供私教卡服务,同样提供充值、停卡、转让等服务。

在系统中排课表,课表可以发布到网站上,支持会员网上登陆预约。

客户可根据自身需求预定不同健身项目、场地和私教。

客户对私教的评价监管,有相应的奖罚机制。

私教预定信息自动发生,提醒会员。


精准的市场营销


对业务员提供跟单管理,了解客户资源前期的电话沟通、销售过程,教练可以有针对性的制定私教体验课程方案,增加私教成交率。

客户资源收集、交换、分配管理,有助于俱乐部管理好客源信息,利于俱乐部长远销售。

会员的上课详情统计分析,私教根据会员的消费能力、参与俱乐部活动能力、介绍朋友能力,有针对性的引导会员行为。

针对新会员入会之后,不来锻炼的会员、特殊节点的会员,系统有一系列回访的逻辑,及时准确生成回访单。

回访过程中,有录音记录,便于监管。

回访工作并不仅仅简单由客服来做,可以建立一个多层次的回访机制,全员参与回访过程。

各部门的回访信息都集中的系统中,便于信息分享。


详细的数据统计分析


客户的充值统计分析,根据分析调整各门店销售策略。

每日每月生产对应财务报表,提供后阶段运营调整方向。

员工业绩达标月统计,提供员工奖罚依据。

每节课中记录上课人数,形成详尽的分析报表,能查看出受教练和课程的受欢迎程度。


精确绩效考核


对于各个岗位都有相应的绩效考核,根据统计业务报表情况来对不同员工绩效进行考核,准确公正。

人事管理提供员工考勤信息,结合绩效考核生产工资单。


明确的分工(人事管理)


对于各个岗位所需要负责的任务分配的详细、全面,员工权限分配灵活严谨,不同岗位人员只能操作、查看相关信息。

通过考勤机记录员工考勤信息,提供员工请假、加班、调休管理。

根据分析会员上课时间段进行合理的排课安排。


库存管理


详细的出入库表单,随时盘点库存,提供库存预警提醒。

对会员租借健身器材进行出入库记录,显示余量。

支持商品进价、售价管理,每笔商品销售成功之后,直接计算利润。

订好储物柜租赁合约,提供储物柜租柜、续柜、清柜、换柜、到期提醒等业务。


完善的客户跟进,提升付费转化


通过使用健身会所的客户跟进模块,可以很好做好客户跟进。包括记录会员的身体状况、体测信息等,同时健身会所也提供了完善的会籍销售跟进、教练跟进体系,有效的帮助会所做好新客户转化,提高付费转化率。



功能详解

Functional details



会员管理


会员信息

1.可对会员基本资料进行增删改查操作,主要包括会员编号、会员姓名、性别、电话、生日、证件号码、会员类型、会籍顾问、来源、门店、登记日期、支付方式、支付金额等信息。

2.根据会员顾问、门店、会员类型、客户来源、姓名、电话、会员编号等字段信息检索会员信息。

3.支持excel导入会员信息。

4.根据会员编号修改会员信息。

5.可以查看会员的详细资料。


会籍管理

1.可对会员卡信息进行增删改查操作,主要包括会员卡号、客户名称、手机号、合约编号、卡状态、卡种、门店、操作日期等信息,并显示会员私教明细、商品消费记录、停卡记录、延期记录、提前开卡记录、会员升级记录、会员转卡记录、会员续卡记录、会员换卡记录、会员补卡记录等信。

2.提供会员制卡流水信息,包括会员卡号、姓名、制卡类型、开始、结束时间、办卡金额、实付金额、门店、顾问、操作时间等信息。

3.可预览会员详细资料及会员卡信息。

4.提供会员卡充值功能,根据会员卡号选择支付方式、支付金额进行充值。

5.提供会员卡续卡功能,根据会员卡号、支付金额延长会员卡到期时间。

6.提供会员卡升级功能,根据会员卡号、选择的会员等级进行支付后完成会员升级。

7.提供会员转卡功能,可以将剩余时长及金额转给会员或非会员。

8.提供会员卡补卡和换卡功能,将会员信息与一个新的会员卡号绑定。

9.提供会员销卡功能,即将会员信息完全消除。

10.提供会员卡停卡、延期开卡、提前开卡等服务,通过调整开始时间来完成需求。

11.支持会员信息的excel导入和打印操作。


会员消费

1.会员充值后可以进行商品消费,可新增、编辑商品消费单,主要包括会员卡号、消费单号、消费时间、消费金额、经手人、门店、备注以及添加商品信息。

2.根据消费单号、会员卡号、结款状态、日期范围、门店等字段检索商品消费信息,商品消费明细以及支付明细。

3.提供确认结款操作,根据商品明细可以确认结款。

4.可以根据支付明细打印商品消费单。


会籍顾问转移

1.根据需求选择客户,挑选其他会籍顾问进行会籍顾问转移。

2.根据顾问名称、门店、会员类型、姓名、电话检索会员信息。

3.历史会籍顾问转移记录可选择日期范围进行查找。


会员跟单

1.业务员对会员跟单形成记录的添加和删除。

2.主要包括会员姓名、性别、生日、电话、证件号、邮箱、联系地址、备注、跟单日期、本次沟通内容、沟通方式、维护人、下次联系日期等信息的记录。


储物柜管理

1.可对会员租用储物柜进行新增、编辑、删除等操作,主要包括编号、储物柜名称、状态、门店等信息。

2..支持excel导入储物柜信息。

3.可查看储物柜状态是否被使用,以便其他会员租用储物柜。

4.可添加会员租用储物柜记录,包括会员卡号、会员姓名、储物柜名称、租用日期、租用金额、支付方式、截至日期、门店、备注等信息。

5.对储物柜的到期进行设置提醒功能。


会员充值记录

1.会员充值记录查看,主要包括充值时间、充值卡号、持卡人、历史金额、充值金额、当前金额、经手人、状态、会籍顾问、办理门店信息。

2.提供会员卡密码设置和修改服务。

3.根据会员卡号可以进行充值操作,并形成记录。

4.提供充值单打印功能,打印充值单上显示充值号、会员卡号、姓名、充值金额、经手人、充值时间、当前余额、打印时间,最后一栏留白为客户签字。


课程转移记录

1.对课程转移记录的查看,主要是原私教卡号、原会员卡号、原会员姓名、现私教卡号、现会员卡号、现会员姓名、转移课程、转移节次、收费金额、办理门店、操作人、操作时间等信息。

2.根据办理门店、原会员卡号、原会员姓名、现会员卡号、现会员姓名、转移课程、操作时间范围检索指定记录。


商品销售记录

1.可查看商品销售记录,主要是消费号、消费卡卡号、姓名、产品编号、产品名称、会员折扣、折后售价、数量、小计金额、支付方式、销售日期、门店等信息。

2.根据销售日期范围、消费号、产品编号来检索销售详细记录。

3.根据销售日期范围统计商品销售信息,主要统计销售产品数量、小计金额。


提醒

1.主要包括对会员卡到期提醒、会员卡余额提醒、会员生日提醒。

2.会员卡到期提醒:显示会员卡持卡人姓名、开卡分店、会籍顾问、开始时间、结束时间等信息,设置提醒天数进行提醒,离结束时间在提醒时间范围内的会员会被提醒。

3.会员生日提醒:根据会员资料进行会员生日提醒,可设置提前多少天进行提醒。

4.会员卡余额提醒:可设置余额小于多少范围内数据再进行提醒。


日志管理

1.可查看会员续卡、升级、转卡、补卡、销卡、换卡等操作日志记录。

2.会员续卡日志记录:会员卡号、原开始时间、原结束时间、客户姓名、续费时间、现开始时间、现结束时间、续费金额、备注、操作人等信息。

3.会员升级日志记录:原会员卡号、会员姓名、现会员卡号、现开始时间、现结束时间、应收金额、备注、操作人等信息。

4.会员转卡日志记录:原会员卡号、原会员姓名、转卡类型、转卡手续费、现会员卡号、现会员名称、现会员卡原结束时间、现会员卡原可用余额、转移金额、转移月数、现会员卡现结束时间、现会员卡现可用余额、备注、操作人等信息。

5.会员补卡日志记录:会员卡号、客户姓名、证件号、电话、开始时间、结束时间、新会员卡号、金额、操作人、操作时间等信息。

6.会员销卡日志记录:会员卡号、姓名、证件号、联系方式、卡内余额、应退金额、销卡日期、经手人、经手时间等信息。

7.会员换卡日志记录:原卡号、姓名、新卡号、换卡费用、经手人、操作时间等信息。

8.可编辑会员介绍的介绍人卡原结束日期,介绍人卡现结束日期,主要包括单据号、介绍人、被介绍人、介绍人卡原结束日期,介绍人卡现结束日期、操作人、会籍顾问、办理门店等信息。

9.可打印会员续卡、会员升级、会员转卡、会员补卡、会员销卡、会员还卡等记录。


私教管理


课程管理

1.对健身项目课程的增删改查操作,主要包括课程名称,缺省教练、缺省教室、分店、人数信息。

2.对项目课程可以进行开课操作,主要设置教室、周期、上课人数、时间段信息。

3.根据上课记录提供上课登记功能,主要记录周期、项目名称、教练、开始时间、结束时间、教室、上课人数信息,并形成上课记录表。

4.提供对课程表的增删改查操作,教练可以根据开课后的报名人数进行课程表添加,主要添加课程名称、教练姓名、教室、周期、上课人数、时间段信息。


教练管理

私教信息的增删改查,主要包括教练编号、教练姓名、状态、门店信息。


预约情况

1.私教预约的会员信息和私教项目查询,主要查询是否确认、会员卡号、会员姓名、私教项目、教练、日期信息。

2.根据日期范围和教练名称检索指定记录。


私教卡管理

1.会员私教卡的办理、私教项目的选择、课程转移、记录查询等操作。

2.私教卡记录主要包括会员卡号、会员姓名、电话号码、私教卡号、私教卡状态、私教项目、教练、类别、单价、购买数量、增送数量、总价、使用次数、剩余次数、开始时间、结束时间、办理时间、办理人信息。

3.每一张私教卡都可查看消费详情,主要是私教卡号、会员卡号、教练、金额、私教项目、是否赠送课程、经手人、消费时间信息,并提供打印。

4.私教卡办理功能,主要将会员卡、会员信息、联系方式、开卡门店等会员卡信息和私教项目、私教、单位、单价、购买数量、应付金额、有效期、备注、办理门店等私教卡信息进行关联绑定。

5.每次进行私教项目消费进行消费记录添加,形成消费详情单。

6.提供课程转移服务,可将原卡上私教次数转移给其他会员,主要登记原会员私教信息和转移会员私教信息。


私教转移

1.会员根据自己需求把自己课程转给其他私教,即在原私教卡信息上更换私教。

2.根据日期范围检索指定转移记录,包括会员卡号、私教卡号、前私教、后私教、操作人、操作时间等信息。


私教卡统计

1.对会员的私教卡办理信息进行统计,主要统计数量、总价、使用次数、已使用次数、剩余使用次数信息。

2.根据办理日期范围、私教、卡状态、开始时间范围、结束时间范围、门店检索指定办卡记录。


教室设置

教室信息设置,包括编号、名称、最大学员数。


教练上课情况

1.私教对应上课的会员信息及其消费信息、时间、次数的记录。

2.根据门店、教练、私教项目、消费时间范围来检索指定记录。


预约管理


私教预约

1.会员选择私教进行预约登记和登记修改,主要包括会员卡号、会员姓名、电话、教练、私教项目、日期、时间段信息。

2.根据日期范围和教练来检索指定预约信息。


课程预约

1.显示课程开课信息,包括周期、项目、教练、时间段、教室、可上课人数等信息。

2.用户选择一条课程记录,可以进行课程预约,记录客户类型、卡号、姓名、联系方式、课程名称、教练、日期、记录人信息。

3.会员上课前会有上课确认操作来更新上课确认状态和上课确认备注信息。


体能测试预约

1.会员进行体能测试的预约添加和修改,主要登记预约人姓名、测试时间、手机、项目、经手人、门店、备注、登记日期信息。

2.根据日期范围、手机、登记人、门店来指定检索预约记录。


场地预约

1.选择日期,显示各个场地每个时间段的预约状态。

2.场地预约操作,登记会员卡号,选择日期和场地,勾选时间段进行预约信息添加。


场地设置

健身项目场地信息的增删改查,主要包括场地序号和场地名称。


仓库管理


产品入库

1.零售商品和健身器材入库单记录,包括入库单号、入库类型、入库日期、仓库名称、经办人、备注信息。

2.每条入库单都显示入库明细信息,包括产品编号、中文名称、产品规格、计量单位、入库数量、单价总价、备注等信息。

3.入库确认操作后,将入库单中物品录入库存中。


产品出库

1.零售商品销售出库和领用出库记录,包括出库单号、出库日期、仓库名称、经办人、领用人、备注信息。

2.根据出库单显示出库明细,主要包括产品编号、中文名称、产品规格、计量单位、入库数量、单价总价、备注等信息。

3.出库确认操作后,从库存中减去相应物品。


产品库存

1.总仓库存记录所有门店仓库物品详情,主要包括产品编号、名称、数量、总价、所属门店等信息。

2.分仓库存选择对应仓库,显示该仓库下库存内容。


库存盘点

定期盘点,提高库存准确性,记录盘点编号、盘点日期、仓库名称、经手人、备注信息。


库存调拨

1.根据实际需求进行各仓库间的内部调拨,主要登记源仓库、目标仓库、调拨原因、备注。在明细表中添加需调拨的商品明细,如产品名称和数量,明细表可以修改和删除明细。

2.生产调拨出库单和生产调拨入库单操作,将两个仓库的库存进行更新。


库存预警

库存中的商品小于库存预警数,实时报警,及时采购。


库存统计

交叉表显示出入库库存日报和库存总价日报,列为日期,行为产品。


产品资料

1.对库存产品详细资料进行增删改查操作,主要包括产品编号、产品规格、产品名称、计量单位、产品类别、品牌、销售底价、所属门店、产品描述、备注等信息。

2.根据产品编号和中文名称检索指定产品信息。

3.支持excel导入导出产品表信息。


基础数据

可对产品类别、仓库、计量单位等基础数据进行增删改查。


员工管理


员工信息

1.员工详细信息的增删改查,主要包括姓名、性别、出生日期、证件号、手机、邮箱、联系地主之、门店、部门、岗位、入职时间、状态、备注,同时支持照片的载入。

2.选择员工,显示员工物品领用情况记录,包括产品编号、产品名称、数量。

3.支持excel导入员工信息。


员工排班

员工排班信息增删改查,设置员工每日的排班情况和备注信息。


员工考勤

1.员工考勤记录及状态统计,主要根据考勤机导入当天的上班时间和下班时间与排班时间结合判断上班状态和下班状态进行考勤记录。

2.考勤状态统计,根据考勤日期、门店、部门、岗位、姓名查找指定员工,交叉表显示考勤状态,行为姓名,列为状态。


员工奖罚记录

3.员工奖罚规则的增删改查,包括类型、类别、金额。

4.员工奖罚记录增删改查,记录员工的基本信息、金额、奖励原因或处罚原因和备注。

5.部门经理审核通过和人事审核通过,金额计入工资中。


工资管理

1.工资管理界面,添加员工,然后从员工信息表中读取工资信息,显示员工姓名、岗位、门店、基本工资、岗位工资、职务津贴、工龄工资、技能工资、值班/加班、全勤奖、补贴等工资信息。

2.计算工资功能,结合员工基本工资信息、车费补贴记录、税率表等信息计算出实付工资。

3.车费补贴记录的增删改查,包括员工信息、日期、金额,支持excel导入,工资计算会拉取记录。


加班申请

1.员工加班申请增删改查,主要是门店、部门、申请人姓名、申请日期、事由、加班时间、备注。

2.上级部门审核管理,由部门经理和店总经理进行审核通过。

3.通过门店、申请人、申请日期范围查找指定记录。

4.显示记录均支持打印。


财务管理


科目设置

财会做帐的常用科目的增删改查。


收款管理

1.健身中心中涉及到的各种应收未收的各种款项记录的增删,收款并行成收款记录,开出发票。

2.根据日期、收入类别、门店、单据号可以查询指定记录。


收款统计

选择日期进行导出指定当日报表操作,生产当日各种款项收入的统计报表。


现金日记账

健身中心内的现金流水管理并行成记录。


财务结算

1.选择日期进行结算,生产结算单,显示现金、POS、合计的毛金额、作废金额、实际金额。

2.点击结算单号可以查看结算明细,包括收入类别、结算方式、金额、门店、操作人、操作时间信息。


统计管理


充值统计

选择时间范围,进行统计操作,显示会员充值信息,主要统计会员余额。


财务报表

根据年月日季度统计类型统计各个店铺的财务收入形成各店铺的财务报表,以柱状图形式展现。


财务日报表统计

1.选择统计日期进行统计操作,显示当日每个会员的操作信息,包括办卡或私教、支付信息、卡片操作信息等。

2.主要对会员的消费操作如充值、办卡、购物进行统计,显示当日总实收金额。


月业绩达标跟进

1.会籍顾问和私教的业绩目标制定的增删改查,主要添加业绩目标、门店信息。

2.业绩目标的比例的设置,对各个岗位设定业绩目标、提成比例,包括门店、岗位、类型、当月完成业绩、提成比例、起始业绩、结束业绩等信息的设置。

3.根据时间范围、门店、岗位、姓名检索指定员工业绩跟进信息,显示时间销售额、目标销售额、提成比例、提成金额、提成总金额等信息。


会籍顾问/私教销售业绩报表

按年月日季度的统计类型统计会籍顾问和私教销售额形成业绩报表,以柱状图形式展示。


业务数据


省市区信息

省市区基本信息的增删改查,三级目录形成联动,不会出现地址错误信息。


连锁门店信息

连锁门店信息的增删改查,主要包括门店身份、所在省市县、负责人、地址、特色、备注信息。


岗位信息

岗位信息的设定修改删除和导入。


项目设置

健身项目的设置和收费项目的设置。


卡种类别

1.会员卡类型和对应可入场时段的设置。

2.可以对指定类别会员卡进行停用和启用操作。


制卡管理

1.导入和更新会员卡信息到系统,主要显示会员卡号和卡片状态。

2.提供更新已用和更新未使用操作对卡片状态进行修改。

3.根据会员卡号、卡片类型、状态、门店、创建时间对指定会员卡信息进行检索。


供应商资料

供应商资料增删改查,主要包括供应商名称、联系人、联系方式、产品、供应商地址、备注信息。


计量单位

基本计量单位的设置。


课时设置

课程时间段设置,设置时间段、开始时间、结束时间。


会籍顾问

1.会籍顾问的增删改查,主要为编号、会籍顾问、状态、门店等信息。

2.可以同过选择门店查找该门店下的会籍顾问。


排班类型

设置不同排班类型的上班时间段。



详细方案

Detailed scheme



会员管理

1.添加会员卡类、收费方式、会籍顾问、门店等基本信息。

2.录入会员基本信息。

3.可以从excel表格中快速导入会员信息。

4.根据需求调整好查询条件。

5.在会籍管理中增加会员续卡、升级、转卡、补卡、换卡、销卡、停卡、开卡等功能。

6.增加会员消费、充值、会籍顾问转移、课程转移、储物柜租赁等功能。

7.设置会员到期提醒、余额提醒、生日提醒。

8.系统实现会籍顾问转移、课程转移、储物柜租赁、卡片操作等日志的生产和打印。

9.订好储物柜租赁合约,提供储物柜租柜、续柜、清柜、换柜、到期提醒等业务。


私教管理

1.添加课程信息、教室信息、时间等基本信息。

2.录入教练基本信息。

3.添加私教卡办理、教练开课、课程预约、私教转移等功能。

4.系统生产预约情况信息和上课情况信息。


预约管理

1.完成教练、 场地、课程等基本信息。

2.添加私教预约、课程预约、体能测试预约、场地预约功能。

3.支持自定义查询功能,实现对所需要的预约信息的快速定位。

4.对预约信息进行记录,避免了出现冲突。


仓库管理

1.添加仓库、产品、价格、数量的基本信息。

2.可以对出入库进行审核操作。

3.添加库存内部调拨功能,而且出入库库存自动更新,可以进行库存自动盘点。

4.详细的出入库表单,随时盘点库存,设置库存预警提醒功能,及时采购。

5.对会员租借健身器材进行出入库记录,显示余量。

6.支持商品进价、售价管理,每笔商品销售成功之后,直接计算利润。


员工管理

1.员工的基本信息录入,支持excel导入。

2.添加员工排班设置、奖罚设置。

3.添加员工加班申请,部门经理和门店经理审核流程。

4.员工基本工资、补贴记录、税率的读取,自动计算应付工资。


财务管理

1.设置基本财会账目。

2.添加收款管理操作,对未付款订单进行收款操作。

3.记录每日现金、POS收入和支出生产财务报表。

4.定期进行财务结算,提供详细报表。


统计管理

1.定期对会员充值金额进行统计。

2.根据年月日季度等统计类型生成财务报表。

3.对现金消费和银行POS消费生产日报表。

4.设置员工业绩目标额,统计销售金额计算应有提成。


业务数据

对省市区、连锁门店、岗位、项目、卡种类、供应商资料、制卡、计量单位、课时、会籍顾问、排班类型等基本信息进行设置。



客户案例

Customer case



杨帆餐饮健身会所


杨帆餐饮健身会所位于浙江省台州市天台县,有着海鲜舫、杨帆会等连锁门店,杨帆会健身会所是天台唯一一家拥有室内恒温泳池的健身场所,课程内容丰富,健身器械充足,在当地具有较好的口碑。

杨帆会是集餐饮健身于一体酒店式会所,酒店的整体状态良好,酒店必备项目达标,设施设备完善,运营质量评价良好,员工服务意识高,健身房、游泳池等配套设施齐全,早在2012年就通过了五星级旅游餐馆评定检查。


时创健身中心ERP给客户带来的优势

1.系统、智能和全面的管理会员操作的每一个流程,从会员开卡到私教预约、餐饮消费,一体化的管理让客户管理更轻松。

2.针对这种餐饮、健身于一体的企业,时创系统将业务进行整合,一卡通用,方便企业管理。

3.对于企业的销售需求,系统还提供了多种消费卡种,方便企业制定销售计划。

4.对于多门店连锁企业,时创健身中心ERP利用当前先进和成熟的计算机和网络技术为旗下门店的日常运营和管理提供规范化的运营支持。


上海万科房地产有限公司


上海万科房地产有限公司主要经营房地产开发经营,企业自经办以来,务实经营,经营业务认知度不断上升,其事业成就得到了市场及行业同仁的一致认可。

公司倡导“高效、优质、求实、节能”的理念,以专业团队致力卓越,不断突破技术层次的壁垒,不断填补管理领域的空白。主动提供市场的有效需求,担当客户最值得信赖且是最强有力的合作伙伴;注重信息化决策,同时具备双形式结构所拥有的灵活性、多样性的统一,加大创新的力度──公司始终保持着与竞争对手的明显优势,带动同行业竟争者朋友在主营领域一起进步,最终以最优质的服务给到客户。


时创健身中心ERP给客户带来的优势

1.避免了繁琐的会员管理:通过时创健身中心ERP,记录不同类型的会员用户,只需验证会员卡信息便可以提供相应的会员服务。

2.灵活的财务统计:时创健身中心ERP不但可以时时统计会员消费,而且可以自动统计员工绩效、考勤、工资,生产报表,让企业不再为财务统计而烦恼。

3.全方面满足了健身中心的需求:为会员提供了预约选课、购物等功能,为员工提供绩效考核功能,为商家提供库存管理和零售管理功能,满足了健身中心运营的各方面需求。